
提到精子库,大家脑海里是不是立刻浮现出“年轻力壮”“基因优良”的画面?毕竟能通过精子库筛选的男性,简直像通过了“全能型男团”的出道考核。
但广州精子库的数据却让人捏把汗:以前捐精合格率还有40%,现在已经跌破20%,而捐精者大多都是正值精子质量巅峰期的在校大学生。

这不禁让人疑惑:
“怎么连年轻人的精子质量都在‘降级’?”
更颠覆认知的是,上海仁济医院的研究团队扒开精子库的试管婴儿数据后,竟揪出了一个让无数备孕夫妻崩溃的真相——被判定为“优质”的精子,也可能是反复流产的隐形推手。

1、反复流产的“背锅侠”:精子
一说起反复流产,大家总是把目光投向女性:是不是卵子质量不好?子宫内膜不够肥沃?
但精子DNA碎片率也是个“嫌疑人”,可惜这个因素一直没得到指南的正式“定罪”。
2023年BJOG指南只把它列为C级证据,意思是“可能有关联,但没足够证据证明需要治疗干预”。

不过,好在如果女性经历反复流产,一般也会检查男性精子DNA碎片率,这也是间接获得了临床认可。
但最让人头疼的是,30%的男性因素查不出来,所幸,学界一直在探索,这次上海仁济的医学团队将目光聚焦在精子库,让我们来揭晓一下答案!
2、 让精子在不同“土壤”里试错
为什么偏偏选精子库?因为这里有个天然的“对照组”:一个捐精者的精子会被用在多个女性身上。
就像把同一批种子撒到不同的田里,如果女性因素本身都正常(实际上需要捐精的女性也大部分正常),但某些田就是不长苗(怀孕失败),那问题就可能出现在种子(精子)本身隐藏的问题上。

研究者扒了上海精子库2004-2018年的大数据:4734名通过严格筛选的“优质捐精者”,以及他们的精子参与的17000多次试管婴儿周期。
他们给“问题精子”定了个标准:如果一个捐精者的精子被用了至少4次,怀孕成功次数却≤25%,就被归为“反复失败组”。
研究者主要关注试管失败率和怀孕后流产的情况,从而得到男性因素对不明原因不孕和不明原因反复流产方面获得新的见解,通过分析,最终得出了三个发现:
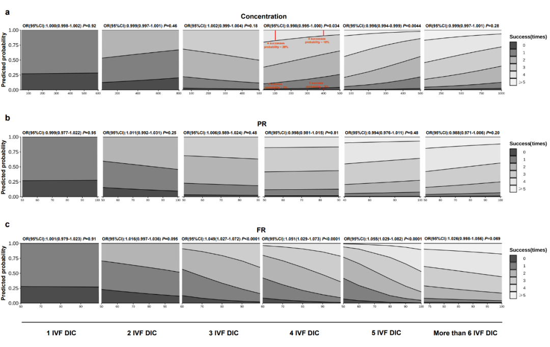
(1)精子太浓可能会“堵车”
研究发现:精子浓度和活产率居然是负相关!每增加1×10⁶/mL的浓度,4次供精周期全失败的风险就增加0.2%,5次周期则增加0.4%。

研究得出的数据:
• 精子浓度超过2亿/毫升(>200x10⁶/mL),活产率显著下降;
• 浓度在2-3亿/毫升,活产风险翻倍;
• 超过3亿/毫升,风险直接飙到2.6-2.8倍。
(2)精子会“冲刺”更重要
以往查精子活力,看的是“能动的精子有多少”,但研究发现,这个指标几乎没用。
关键的是“前向运动率(FR)”,也就是能笔直往前冲的精子,在所有能动的精子里占多少比例。
数据显示:FR每提高1个百分点,4-5次试管的活产率就提升5%;FR低于90%,风险飙升;低于85%时,风险直接是正常组的2.3-3.3倍。

(3)合格的精子,也藏着“流产基因”
最让人震惊的是:197名“反复失败捐精者”(占比8%)的精子,常规检查全合格,但他们的精子让女性怀孕后,流产率是普通捐精者的2.7-4倍。
这些“问题精子”有两个典型特征:
• 精子浓度更高(96亿/mlvs正常组90亿/ml);
• 前向运动率更低(95.12%vs正常组96.59%)。
研究显示,当精子同时满足“浓度>2亿/ml”和“FR

这项研究给所有备孕夫妻提了个醒:生育从来不是女性一个人的“战役”。当反复流产的阴霾笼罩时,别再让女性独自承担指责和检查,那些藏在精子里的秘密,可能就是打破僵局的关键。毕竟,新生命的到来,需要两个人共同的健康基石。
声明:本站部分内容转自网络,侵删!资讯整理:试管婴儿网,如若转载,请注明出处:https://www.ivf-8.com/show-8616.html
任何关于疾病的建议都不能替代执业医师的面对面的诊断和治疗,本站内容仅作为参考信息,本站不承担由此引起的法律责任。
